Fig. 1
Real & imaginary parts of the refractive indices for MgF2 taken from different sources.

Real & imaginary parts of the refractive indices for MgF2 taken from different sources.
Interpolated real & imaginary parts of the refractive indices for MgF2 taken from Palik’s Handbook.
Absolute TM efficiency of 316 gr/mm Al echelle in -9 (thick) & -8 (thin) orders at wavelengths of 632.8 nm vs. angle of incidence for different values of RI used in calculations.
AFM profilometry on G185M grating performed by SPN Digital Nanoscope IIIA before (upper) and after (lower) Cr/Al/MgF2 coating. Vertical scale is the same in both figures.
Measured (points) and calculated (curves) of -1 order efficiency of G185M grating for NP polarization, plotted vs. wavelength. Efficiency models calculated for the nonconformal MgF2 layer and refractive indices of MgF2 taken from different sources.
Portion of a trace of grating 1528 taken with the microinterferometer. Both the depth and the profile shape are severely distorted. Compare with the profiles in Figs. 7 and 9.
Portion of a stylus profilometer trace for the grating shown in Figs. 6 and 9. The stylus radius is 0.1 micron in the axis scanned. Solid: Raw data; dashed: Averaged per method described in the text.
Portion of a stylus profilometer trace for a deep echelle grating for IR spectroscopy. This grating, including deep (~57Вє) sloped facets, a flat top, and sharp bottom, is well resolved due to its extremely long period of ~140 microns. Height is in microns.
An example of an AFM image of a portion of two adjacent grooves of a ruled grating. The sample serial number is 1528-1-2-3. X is the axis perpendicular to the groove, Y is parallel to the grooves, and Z is the groove height. This is a planar red blazed reflection grating with a groove density of 67.556/mm. The facet shape and roughness are evident.
Contour plot of AFM data on a 3600/mm ruled grating for EUV normal incidence spectroscopy. Units are microns for the lateral scale and nm in the vertical scale bar. Rough groove edges are apparent.
The AFM image of the 2400/mm holographic master grating. The vertical scale has been exaggerated to reveal the texture of the grooves. The horizontal and vertical scales are indicated.
The histogram of the pixel heights that were derived from one 2400/mm holographic grating period of the AFM image.
The histogram of the blaze angles that were derived from one 2400/mm holographic grating period of the AFM image.
A representative scaled groove profile that was derived from the AFM image of the 2400/mm holographic grating and used in the calculation of the grating efficiency.
The AFM image of 2 grooves of the 2400/mm replica grating. The image size is 1 mkm by 1 mkm. The horizontal and vertical scales are indicated.
The PSD function of the 2400/mm replica grating derived from an AFM image of size 2 mkm.
A typical groove profile derived from the AFM image of the 2400/mm replica grating. The average peak to valley groove depth is 90 Å The blaze angles, measured from the horizontal, of the left and right facets are 3.4 deg. and 6.2 deg., respectively.
The layout of the automated efficiency checker (AEC) at Richardson Gratings (Newport Corp.) is shown. The apparatus is in a dark room and is computer operated. The grating and the scan arm can move independently to allow either monochromator mode (fixed grating deviation angle) or spectrograph mode (fixed grating incidence angle) or any other geometry (e.g. fixed wavelength, scanning incidence angle) to be measured.
The Diffraction Grating Evaluation Facility (DGEF) of the NASA GSFC Optics Branch.
The FAUST scatterometer set-up (vacuum environment configuration). Focusing mirror focal length is 1.2 m. All hardware is computer-controlled (except grating tip-tilt mount).
The NRL beamline X24C attached to the NSLS X-ray ring.
The synchrotron radiation is dispersed by a monochromator that has a resolving power up to 1000 and 108 to 1012 photons/sec/0.1% bandpass peaking at ~ 100 eV. Thin filters are suppressed the radiation from the monochromator in the higher harmonics. The wavelength scale is established by the geometry of the monochromator and the absorption edges of the filters. Two elements (e.g. grating and mirror) are precisely translated and rotated by computer control while maintaining fixed entrance and exit slits.
A photograph of the reflectometer, the photodiode chamber, and the larger instrument calibration chamber attached to the X24C beamline.
Efficiency of -1 order of a 2400 g/mm blazed holographic master grating computed with the average AFM groove profile of 7.0 nm depth and RI of SiO2 taken from the CXRO compilation for different calculation modes vs. wavelength.
Measured and calculated efficiency of -1 order of a 2400 g/mm blazed holographic master grating, plotted vs. wavelength. Efficiency models calculated for different groove profiles and RI of SiO2 taken from the CXRO compilation.
Measured and calculated efficiency of -1 order of a 2400 g/mm blazed holographic master grating, plotted vs. wavelength. Efficiency models calculated for scaled AFM groove profiles and RI of SiO2 taken from different sources.
Measured and calculated efficiency of orders of a 2400 g/mm blazed holographic master grating, plotted vs. wavelength. Efficiency model calculated for the average AFM groove profile of 7.0 nm depth and RI of SiO2 taken from the CXRO compilation.
The efficiency certificate of orders of a 2400 g/mm blazed holographic concave master grating working in the soft X-ray—EUV range. Efficiency calculated for the average AFM groove profile of 7.0 nm depth and RIs of SiO2 taken from the CXRO compilation.
(a) The measured grating efficiency in the zero order at an angle of incidence of 15.2°. (b) The reflectance of 743 Å of SiO2 and 30 Å of Al2O3 on opaque aluminum calculated at an angle of incidence of 15.2°.
The fit of Gaussian profiles (smooth curves) to the measured grating efficiencies (data points). The wavelength of the incident radiation was 187.9 Å, and the angle of incidence was 15.2°.
Efficiency of -1 order of a replica of a 2400 g/mm blazed holographic grating computed with the average AFM groove profile of 8.5 nm depth and RIs taken from the Palik tables for different calculation modes vs. wavelength.
Measured and calculated efficiency of -1 order of a replica of a 2400 g/mm blazed holographic grating, plotted vs. wavelength. Efficiency models calculated for scaled AFM groove profiles and RIs taken from different sources.
Measured and calculated efficiency of -1 order of a replica of a 2400 g/mm blazed holographic grating, plotted in the investigated short wavelength range. Efficiency models calculated for the average AFM groove profile of 8.5 nm depth and RIs taken from different sources.
Measured and calculated efficiency of orders of a replica of a 2400 g/mm blazed holographic grating, plotted vs. wavelength. Efficiency model calculated for the AFM groove profile of 8.5 nm depth and RIs taken from different sources.
The efficiency certificate of orders of a replica of a 2400 g/mm blazed holographic concave grating working in the soft X-ray—EUV range. Efficiency calculated for the average AFM groove profile of 8.5 nm depth and RIs taken from the CXRO compilation (< 15 nm) and from the Palik handbook (>= 15 nm).
The average groove profile for a grating 1528 based on AFM (solid line) and stylus profilometer data (dashed line).
Different models of normalized to period groove profiles of an Ng41 grating.
Efficiency in TE polarization of -1 order of an Ng41 grating with the average AFM groove profile and RI taken from Palik tables for different calculation modes vs. wavelength.
Efficiency in TM polarization of -1 order of an Ng41 grating with the average AFM groove profile and RI taken from Palik tables for different calculation modes vs. wavelength.
Measured and calculated efficiency in TE polarization of -1 order of an Ng41 grating, plotted vs. wavelength. Efficiency models with RI taken from Palik tables calculated for different groove profiles.
Measured and calculated efficiency in TM polarization of -1 order of an Ng41 grating, plotted vs. wavelength. Efficiency models with RI taken from Palik tables calculated for different groove profiles.
Measured and calculated efficiency in TE polarization of -1 order of an Ng41 grating, plotted vs. wavelength. Efficiency of 1&2-border AFM models computed for different RI and calculation modes.
Measured and calculated efficiency in TM polarization of -1 order of an Ng41 grating, plotted vs. wavelength. Efficiency of 1&2-border AFM models computed for different RI and calculation modes.
Measured and calculated efficiency in both polarizations of -1 order of an Ng41 grating, plotted vs. wavelength. Efficiency of the 2-border AFM model with RI taken from Palik tables computed in the best calculation mode.
The efficiency certificate for NP polarization of -1 order of an Ng41 grating, investigated in the NUV—NIR range. Efficiency calculated for the best model using the average AFM groove profile and RI taken from Palik tables.
Measured -1st-order absolute efficiency of G185M replica gratings at 34.7 deg. incidence for nonpolarization, plotted vs. wavelength.
The two-boundary G185M grating model. Horizontal and vertical scales are different.
Average G185M AFM border profiles before and after coating Cr/Al/MgF2.
G185M -1st-order absolute efficiency calculated for the average AFM border profiles and Palik’s (Al) & Keski-Kuha—Goray’s (MgF2) RIs using different calculation models, plotted vs. wavelength.
G185M -1st-order efficiency measured (points) and calculated (curves) for Palik’s RIs (Al&MgF2) and different MgF2 layer shapes, plotted vs. wavelength.
G185M -1st-order efficiency measured (points) and calculated (curves) for the border 2 scale factor of 1.04 and vertical shift of 68.5 nm using different RIs of MgF2&Al, plotted vs. wavelength.
G185M -1st-order efficiency measured (points) and calculated (curves) for Palik’s (Al) & Keski-Kuha—Goray’s (MgF2) RIs and best fits for layer shapes, plotted vs. wavelength.
Efficiency certificate for TE, TM, and NP polarizations of -1st order of a resonant subwavelength G185M grating, investigated in the VUV—NUV range. Efficiency calculated for the best model using the average AFM border profiles before & after coating Cr/Al/MgF2 and RIs taken from Palik’s tables (Al) and the best fit of the calculated efficiency data to experimental ones (MgF2).
Measured +1 and −1 order efficiencies vs wavelength of a 2400 /mm multilayer-coated grating operating at angles of incidence of 10В°. The solid curves are the reflectances of the multilayer coating with 30 Mo/Si periods for the indicated angles of incidence, shifted to account for the different angles of deviation for the +1 and −1 orders. The reflectance values were reduced by factors of 0.32 and 0.34 which represent the groove efficiencies in +1 and −1 orders.
The AFM image of the 2400/mm multilayer-coated MoRu/Be blazed holographic grating. The bump-type features are indicated.
Scans across the grooves of a grating after application of the MoRu/Be multilayer coating.
A representative scaled groove profile that was derived from the AFM image of a 2400/mm replica grating and used in the calculation of the MoRu/Be grating efficiency.
Measured efficiencies of the multilayer MoRu/Be grating at a wavelength of 11.37 nm. The angle of incidence is -13.9°. The 0.5° widths (at the half-peak efficiency levels) of the orders shown in the figure result from the 1-mm slit over the detector.
Peak efficiencies of the multilayer MoRu/Be grating measured with synchrotron radiation at an angle of incidence of -13.9° for the indicated diffraction orders in the 11.1—12.0-nm wavelength range.
Absolute efficiencies of the multilayer MoRu/Be grating computed using the “normal” calculation mode of PCGrate-SX v.6.1 at an angle of incidence of -13.9° for the indicated diffraction orders in the 11.1—12.0-nm wavelength range
Absolute efficiencies of the multilayer MoRu/Be grating computed using the “resonance” calculation mode under finite substrate conductivity of PCGrate-SX v.6.1 at an angle of incidence of -13.9° for the indicated diffraction orders in the 11.1—12.0-nm wavelength range.
Convergence of absolute efficiencies of the multilayer MoRu/Be grating computed using “resonance” and “normal” calculation modes and different calculation options of PCGrate-SX v.6.1 at an angle of incidence of -13.9° in the -2nd order at an 11.4-nm wavelength vs number of collocation points.
Measured and calculated by PCGrate-SX v.6.1 efficiencies of the multilayer MoRu/Be grating at an angle of incidence of -13.9° for the indicated diffraction orders in the 25—50-nm wavelength range.
Efficiency Certificate of the multilayer MoRu/Be grating calculated by PCGrate-SX v.6.1 at an angle of incidence of -13.9° for the indicated diffraction orders in the 10—13-nm wavelength range.
Efficiency Certificate of the multilayer MoRu/Be grating calculated by PCGrate-SX v.6.1 at an angle of incidence of-13.9° for the indicated diffraction orders in the 12—50-nm wavelength range.
Relative (groove) efficiencies of the investigating MoRu/Be grating calculated using the “resonance” calculation mode under perfect substrate conductivity of PCGrate-SX v.6.1 at an angle of incidence of -13.9° for the indicated diffraction orders in the 4.5—30-nm wavelength range.
The AFM image of the fused silica lamellar grating with approximately equal land and groove widths.
Measured (points) and calculated (lines) reflectances on the short-band and long-band 20-period multilayer-coated sides of the M2 Mo/Si mirror operating at angles of incidence of 2.15°.
Efficiencies measured at the central points (CG, center of gravity) on the short-band (SB) side of the Mo/Si FL1 grating.
Efficiencies measured at the central points (CG, center of gravity) on the long-band (LB) side of the Mo/Si FL1 grating.
A two-period randomly-rough trapezium boundary shape that was derived from the AFM image of the Mo/Si FL1 grating and used in efficiency calculations.
A ten-period randomly-rough trapezium boundary shape that was derived from the AFM image of the Mo/Si FL1 grating and used in scattering intensity calculations.
The PCGrate v.6.5 model of the 4200 /mm 41-rough-trapezium-boundary Mo/Si FL1 grating.
Efficiency convergence in principal orders of the 4200 /mm 41-rough-boundary Mo/Si FL1 grating computed using seven boundary sets and different accuracy parameter N in PCGrate-SX v.6.5 at an angle of incidence of 6.5° vs. short-band wavelength.
Efficiency convergence in principal orders of the 4200 /mm 41-rough-boundary Mo/Si FL1 grating computed using N = 800 and different numbers of randomized-boundary sets in PCGrate-SX v.6.5 at an angle of incidence of 6.5° vs. short-band wavelength.
Order intensity convergence of the 4200 /mm 41-rough-boundary Mo/Si FL1 grating computed using seven boundary sets and different accuracy parameter N in PCGrate-SX v.6.5 at an angle of incidence of 6.5° and at an 19.25-nm-wavelength vs. scattering order number.
Scattering intensity convergence of the 4200 /mm 41-rough-boundary Mo/Si FL1 grating computed using N = 1000 and different numbers of randomized-boundary sets in PCGrate-SX v.6.5 at an angle of incidence of 6.5° and at an 19.25-nm-wavelength vs. scattering (diffraction) angle.
Measured and calculated by PCGrate-SX v.6.5 with N = 800 and seven sets of 41 randomly-rough-trapezium boundaries efficiencies of the 4200 /mm Mo/Si FL1 grating at an angle of incidence of 6.5° for the indicated diffraction orders in the 17—22.25-nm wavelength range.
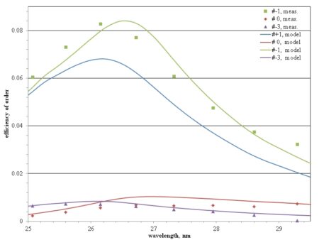
Measured and calculated by PCGrate-SX v.6.5 with N = 800 and five sets of 41 randomly-rough-trapezium boundaries efficiencies of the 4200 /mm Mo/Si FL1 grating at an angle of incidence of 6.5° for the indicated diffraction orders in the 25—29.5-nm wavelength range.
Scattering intensity of the 4200 /mm 41-rough-trapezium-boundary Mo/Si FL1 grating computed using 105 boundary sets and N = 1000 in PCGrate-SX v.6.5 at an angle of incidence of 6.5° and at an 19.25-nm-wavelength vs. scattering angle.
Efficiency Certificate of the -1st working order of the 4200 /mm Mo/Si FL1 grating obtained by PCGrate-SX v.6.5 with N = 800 and seven sets of 41 randomly-rough-trapezium boundaries at an angle of incidence of 6.5° in the 17—30-nm wavelength range.
| Cookie | Duration | Description |
|---|---|---|
| cookielawinfo-checkbox-analytics | 11 months | This cookie is set by GDPR Cookie Consent plugin. The cookie is used to store the user consent for the cookies in the category "Analytics". |
| cookielawinfo-checkbox-functional | 11 months | The cookie is set by GDPR cookie consent to record the user consent for the cookies in the category "Functional". |
| cookielawinfo-checkbox-necessary | 11 months | This cookie is set by GDPR Cookie Consent plugin. The cookies is used to store the user consent for the cookies in the category "Necessary". |
| cookielawinfo-checkbox-others | 11 months | This cookie is set by GDPR Cookie Consent plugin. The cookie is used to store the user consent for the cookies in the category "Other. |
| cookielawinfo-checkbox-performance | 11 months | This cookie is set by GDPR Cookie Consent plugin. The cookie is used to store the user consent for the cookies in the category "Performance". |
| viewed_cookie_policy | 11 months | The cookie is set by the GDPR Cookie Consent plugin and is used to store whether or not user has consented to the use of cookies. It does not store any personal data. |